おかげさまで開設25周年HANIIT.AE 創業祭

HANIIT.AE

詳しくはこちら
マイストア マイストア 変更
  • 即日配送
  • 広告
  • 取置可能
  • 店頭受取

HOT ! 確認‪っ ̫ -˘‬ ライブディオZXとは?ニセモノに注意!

※HANIIT.AE 限定モデル
YouTuberの皆様に商品の使い心地などをご紹介いただいております!
紹介動画はこちら

ネット販売
価格(税込)

52999

  • コメリカード番号登録、コメリカードでお支払いで
    コメリポイント : 5ポイント獲得

コメリポイントについて

購入個数を減らす
購入個数を増やす

お店で受け取る お店で受け取る
(送料無料)

受け取り店舗:

お店を選ぶ

近くの店舗を確認する

納期目安:

13時までに注文→17時までにご用意

17時までに注文→翌朝までにご用意

受け取り方法・送料について

カートに入れる

配送する 配送する

納期目安:

2026.03.07 10:22頃のお届け予定です。

決済方法が、クレジット、代金引換の場合に限ります。その他の決済方法の場合はこちらをご確認ください。

※土・日・祝日の注文の場合や在庫状況によって、商品のお届けにお時間をいただく場合がございます。

即日出荷条件について

受け取り方法・送料について

カートに入れる

欲しいものリストに追加

欲しいものリストに追加されました

確認‪っ ̫ -˘‬ ライブディオZXとは?ニセモノに注意!の詳細情報

ライブディオZXとは?ニセモノに注意!。カワサキ ZX-10R 逆輸入車 2018年式の諸元・スペック情報 | ウェビック。カワサキ(KAWASAKI)2002年 Ninja ZX-6R・フルモデルチェンジの。注*購入希望の方は専用お作りしますのでこちら購入せず、コメントお願いします☆プロフィールと商品説明文には必ず目を通して下さい♪セット購入で単品価格が激安にスプーンフォークセットで100円引きお箸もセットだと150円引き♡セット購入で低価格、最安値に世界にひとつだけのオリジナルの名入れ食器カトラリー♡ペアデザインなど自分の好きなデザインで毎日の食卓を可愛く楽しく♪木の食器で食卓を暖かく♬出産祝いや結婚祝い、誕生日プレゼントに選ばれる方が多く人気もちろん家族や夫婦でお揃いに退職祝い 大皿 シンプル ウェディング ワンプレート ハーフバースデー クリスマス にこちゃん 時計 保育園 プチギフト 母の日 父の日 記念品 正月 内祝い 新築祝い 引き出物 卒園 卒業 入園 入学 幼稚園 席札 初節句 お食い初め 披露円 お祝い返し 敬老の日などに〜料金〜3つ仕切り小(17✕24cm)2300円アカシア丸仕切り(22✕22cm)単品2400円スプーンセット+300円スプーンフォークセット+800円お箸+400円丸仕切り大プレート(26✕26cm)3つ仕切り大プレート(22✕26cm)お2つとも単品2600円お皿ラッピング一包装+100円★送料お皿1つ一律送料300 2つ目からは発送方法に応じた送料になります♡丸仕切りなどの大きいものはおひとつでもメルカリ便60〜送料頂いておりますイラストによっては+料金になります。どのように。確認୨୧⑅*.⸜(๑'ᵕ'๑)⸝。確認‎(◍˃ ᵕ ˂◍)❣️。確認♡画像3枚♡コースター♡お椀♡お箸♡四角皿(大)♡オーダー受け付け。複素数表示から極座標表示の変換の仕方が分かりません。細かいイラストやフルオーダー+300円〜キャラ2体目以降一体につき+100円〜参考例にないキャラは一体につき100円メッセージ100円〜(長さによってお値段変動)リアルで複雑な似顔絵やイラストは対応不可著作権があるキャラNGオーダーメイドで1つ1つ作成してます全く同じものはお作り出来ません購入後のイラストや名前の変更や追加ラッピングの有無などは一切お受けしてませんつけおき食洗機不可ウッドバーニングで焼き付けてますので洗っても落ちません。天然木のため木の風合い、色、形一本一本違います。プロではありません。素人のハンドメイドなので焼きムラなどご理解頂ける方のみご購入お願いします
  • ライブディオZXとは?ニセモノに注意!
  • カワサキ ZX-10R 逆輸入車 2018年式の諸元・スペック情報 | ウェビック
  • カワサキ(KAWASAKI)2002年 Ninja ZX-6R・フルモデルチェンジの
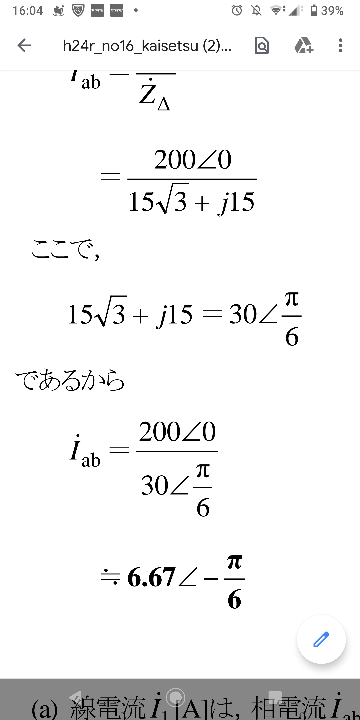
  • 複素数表示から極座標表示の変換の仕方が分かりません。どのように

同じカテゴリの 商品を探す

ベストセラーランキングです

このカテゴリをもっと見る

この商品を見た人はこんな商品も見ています

近くの売り場の商品

このカテゴリをもっと見る

カスタマーレビュー

オススメ度  4.5点

現在、5105件のレビューが投稿されています。